关键词作为SEO中的一个术语,英文叫keywords,主要是指用户通过搜索引擎(百度、谷歌等)输入的搜索词。在进行SEO中,有一个很重的步骤就是如何选择关键词,可以说,关键词选择的好与坏,决定了很多SEO项目的成功与否,因此,选取高效能的关键词是关键。
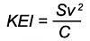
在网上,看到一个关于关键词效率指数Keyword efficiency index(KEI)的公式:

SV: search volume 即关键词搜索量 C:competitors 即关键词的搜索结果页面数(SERPs)
即关键词效能指数取决于搜索流量和相关搜索页面,公式很简单,突然让我联想到爱因斯坦最有名的公式是 E=mc2或m=E/c2 ,能量等于质量与光速的平方相乘。
且先不思考这个公式是否正确,让我们直接代入数据来看是否有参考价值吧。正好Vic最近在负责一个策划行业的客户,于是可以把“策划”作为核心的关键词进行拓展,并进行相关计算,得出前10位效能最高的关键词,具体结果详见下图:

我们发现,通过该公式计算得出,“策划”虽然搜索流量远高于“营销策划公司”,但是在效能上,后者是前者的2倍多,如果进行SEO的话,后者可以优先进行考虑。这样就可以避免只根据关键词搜索流量来选词的盲区,至少更为精准。
思考到这里,Vic突然觉得这个公司或许可以这么理解:
搜索流量可以代表为这个关键词的收益,相关搜索结果代表竞争对手数目,可以作为成本,收益除以成本,不就是利润率吗?或许因为这里的“成本”过高,都是百万级别的,所以公式的作者有意让搜索流量进行平方。
如果,顺着”收益-成本”的思路在想,那么这个公式完全可以进行拓展和优化,至少可以从两方面考虑:
1、收益:搜索流量不能代表完全代表收益,转化率也很重要,特别对于电子商务,光来点击不下订单的流量都是价值不大的。
2、成本:相关搜索结果也仅仅是代表成本的一部分,还可以包括intitle的搜索结果、关键词的字数、前三页用首页排名的网站数等,优词网开发的关键词难度系数查询就有很参考价值,比如“ 策划公司”的百度关键词难度系数如下图:

看来要计算关键词的效能指数,这个公式要更为复杂,加上各种数据都是在动态变化的,相信每个行业的各个影响因素都不一致,要做好这个关键词效能分析,真心是需要在某一个行业,积累一定的数据,并不断优化调整,方能有所成啊。
关于关键词效能指数,相信还有更多可以思考的东西,欢迎各位高手进行讨论。
(本文"关键词效能指数KEI公式"的责任编辑:SEO学堂)
鲁公网安备37131102371371号